曲面的切平面方程怎么求(曲面的切平面方程公式推导)
一、曲面及曲面的切平面与法线方程历年考点分析
2016年上半年高中,在选择题的第3题考查了二次曲面的方程;
2017年上半年高中,在选择题的第3题考查了柱面方程,简答题第9题考查了椭球面切平面方程;
2017年下半年高中,在解答题考查了旋转曲面方程的求解;
2018年上半年高中,在选择题的第6题、简答题的第10题考查了抛物柱面与平面的交线、二次曲面的切平面和法向量.
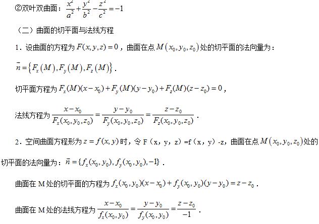
从这几套历年真题可以分析出,教师资格证数学曲面的考点主要是两大考点,曲面的方程及曲面的切平面与法线方程.
考生在高中数学教师资格证考试的备考中应注意复习曲面及曲面的切平面与法线方程部分知识点.
二、曲面及曲面的切平面与法线方程历年真题及详细解析
  
  
  
  
  
  
  
声明:本站所有文章,本站所有资源收集于互联网和网友投稿提供,仅用于学习和研究,若用于违法,与本站无关。若有侵权,请联系客服删除。
发表评论

				
暂时没有评论,来抢沙发吧~